欢迎访问开云(中国)官方网站-kaiyun官网登录入口

中国女篮第一纳税人球星李梦年交税或达370万!

频道:英超 日期: 浏览:170

作为此前中国女篮的绝对主力、核心,李梦引发外界极大的关注。原因是有消息称李梦很有可能会告别女篮,相关的话题也冲上多个社交媒体的热搜榜前列,引发球迷们的讨论,包括“李梦是否真的不打职业篮球了?”、“李梦的年薪真的有税后500万这么多吗?”、“为了让李梦打球,俱乐部得付出多少钱呢?”等等话题。



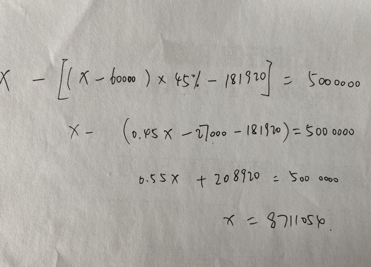
首先是李梦的年薪,有消息称是税后500万元,税前的收入,应该是871万元。这点可以参考下图,x代表税前金额、60000代表年个税起征点、45%代表超过96万元收入部分的税率、181920代表96万收入部分的扣除数。

所以,整体上来看,李梦税后500万元,约等于税前871万元。当然了,具体情况还要考虑专项附加扣除等情况,但总体而言,税后500万相对应的税前金额必然在850万元以上。



得出李梦的年薪之后,我们来对比下CBA顶级球员们的年薪,包括新科亚洲杯最佳阵容的胡金秋、总决赛MVP得主的赵继伟,以及亚洲杯表现出色的赵睿,他们都拿到CBA的D类合同,也就是顶薪,税前为600万人民币,税后约330万。



作为此前辽篮连续夺冠的核心之一,张镇麟拿到的是B类合同,他的年薪是150万元。



所以对比下就可以看出,李梦的税前的871万元,比CBA顶薪还要高200多万元,是张镇麟年薪的5.8倍,确实是很高的收入。



虽然李梦的实力很强、也有一定的人气和影响力,但年薪的问题也不容忽视,毕竟请她打球的费用是很高的,而国内的篮球俱乐部商业化程度不足,自我供血的能力还不够。如果WCBA也设立CBA那样的工资帽,给顶级球员和其他球员都有一定的约束和保障,或许是不错的选择。